Ergosterol
Czym jest ergosterol i jego rola
GRZYBY
1/5/20253 min read
Sterole są niezbędne do zachowania właściwej struktury i funkcji błon komórkowych eukariontów. Każde królestwo organizmów żywych cechuje się obecnością specyficznych związków steroidowych, np. w królestwie grzybów dominuje ergosterol, dla roślin charakterystyczne są β-sitosterol i inne fitosterole, a dla zwierząt cholesterol. Steroidy wyizolowane z owocników H. erinaceum przedstawiono na rycinie 1. Najlepiej poznanymi spośród nich, a zarazem najważniejszymi są ergosterol oraz nadtlenek ergosterolu.
Ergosterol jest metabolitem pierwotnym niezbędnym do wzrostu grzybów, uczestniczącym w regulacji płynności błonowej, aktywności i dystrybucji białek integralnych oraz kontroli cyklu komórkowego. Zawartość ergosterolu w grzybach jest gatunkowo specyficzna i różni się w zależności od stanu fizjologicznego komórek. U grzybów z klasy Basidiomycetes ergosterol stanowi 40–95% steroli, nie stwierdzono jednak jego obecności u zasiedlających niektóre gleby lęgniowców (Oomycota) z rodzajów Pythium i Phytophthora oraz u wielu drożdży. Związek ten powstaje na drodze licznych reakcji enzymatycznych, a substratem do jego biosyntezy jest – podobnie jak w przypadku terpenoidów – acetylokoenzym A.
Ergosterol występuje u grzybów w dwóch formach chemicznych, pełniących odmienne funkcje fizjologiczne: jako wolny ergosterol oraz ergosterol zestryfikowany długołańcuchowymi kwasami tłuszczowymi, głównie nienasyconymi C16 i C18. Obie te formy występują u różnych gatunków grzybów w odmiennym stosunku ilościowym. Synteza, magazynowanie i hydroliza estrów ergosterylowych zachodzi w różnych kompartmentach subkomórkowych. Estryfikacja ergosterolu ma miejsce w retikulum endoplazmatycznym, podczas gdy hydroliza powstałych estrów zachodzi w pęcherzykach wydzielniczych i w błonach plazmatycznych. Wolny ergosterol jest składnikiem błonowym, natomiast jego estry należą do składników zewnątrzbłonowych, gromadzonych w cytozolu. Estryfikację ergosterolu można rozpatrywać w kategoriach regulacji ilości ergosterolu w błonach: ciągła rozbudowa błony plazmatycznej może być siłą napędową do uwalniania ergosterolu z jego estrów. Rezerwa ergosterolu jest wyczerpywana nie tylko wówczas, gdy komórka nie jest zdolna do dalszej syntezy ergosterolu (warunki beztlenowe), ale również podczas jej gwałtownego wzrostu (warunki tlenowe).
Jako związek charakterystyczny dla grzybów, ergosterol jest często stosowany jako wskaźnik ilości biomasy grzybowej w środowisku (np. w glebie, ściółce, drewnie, żywności, materiałach budowlanych, kurzu, a nawet w powietrzu). Zawartość ergosterolu w żywej biomasie uzależniona jest przede wszystkim od tempa jego obrotu, stanu metabolicznego komórek oraz gatunku grzyba. Wykazano, że stężenie tego związku jest znacząco wyższe w starszych grzybach, znajdujących się w fazie stacjonarnej, aniżeli w młodej, rosnącej grzybni. Drastyczne obniżenie zawartości ergosterolu może być wynikiem częściowej autolizy komórek. Aktualne modele wzrostu grzybni wskazują, że aktywnie rosnące grzyby przeprowadzają alokację zasobów ergosterolu do syntezy błony komórkowej w sposób uprzywilejowany.
W ciągu ostatniej dekady przeprowadzono badania aktywności farmakologicznej ergosterolu. Wykazano jego działanie hamujące wzrost raka piersi in vitro oraz nowotworu pęcherza moczowego u szczurów. Stwierdzono, że ergosterol nie działa bezpośrednio cytotoksycznie na guzy lite (m.in. na mięsaka 180), lecz powoduje ich znaczące zmniejszenie poprzez hamowanie angiogenezy. Ponadto, produkt metabolizmu ergosterolu, 17α,24-dihydroksyergosterol, hamował syntezę DNA w keratynocytach HaCaT oraz w komórkach czerniaka SKMEL-188. Udokumentowane działanie antyoksydacyjne ergosterolu polega na wychwytywaniu wolnych rodników tlenowych niszczących błony plazmatyczne, w następstwie czego ulega on przekształceniu do nadtlenku ergosterolu.
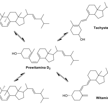
Ergosterol jest ważnym odczynnikiem w przemyśle farmaceutycznym i chemicznym, ze względu na możliwość przekształcania go w kortyzon i progestin. W wyniku fotolizy pod wpływem promieniowania UV jest przekształcany w różnorodne produkty, głównie tachysterol i lumisterol oraz prewitaminę D2, która ulega spontanicznej przemianie termicznej w prowitaminę D2 (rycina 2). Obecnie produkcję ergosterolu na skalę przemysłową prowadzi się poprzez fermentację drożdży.






Ryc. 2. Schemat przekształcania się ergosterolu w witaminę D2
Ryc. 1. Steroidy wyizolowane z owocników H. erinaceum: ergosterol (3β-hydroksyergosta-5,7,22-trien) (1), 3β-O-glukopiranozyloergosta-5,7,22-trien (glikozyd ergosterolu) (2), cerewisterol (3), glikozyd cerewisterolu (4), 3β,5α,9α-trihydroksyergosta-7,22-dien-6-on (5), nadtlenek ergosterolu (6), 3β-O-glukopiranozylo-5,8-epidioksyergosta-6,22-dien (7)
Fot. 1. Kryształy ergosterolu na ściance butelki z ekstraktem heksanowym z owocników grzyba

